Fichier:Jeddy.PNG
De Wiki d'activités IMA
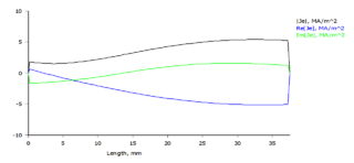
Révision datée du 9 mars 2015 à 16:35 par Qsultana (discussion | contributions) (Projet Motorisation d'un véhicule électrique. Exemple de relevé du courant induit à la surface d'un aimant)
Taille de cet aperçu : 800 × 370 pixels. Autres résolutions : 320 × 148 pixels | 1 280 × 592 pixels.
Fichier d'origine (1 280 × 592 pixels, taille du fichier : 13 Kio, type MIME : image/png)
Projet Motorisation d'un véhicule électrique. Exemple de relevé du courant induit à la surface d'un aimant
Historique du fichier
Cliquer sur une date et heure pour voir le fichier tel qu'il était à ce moment-là.
| Date et heure | Vignette | Dimensions | Utilisateur | Commentaire | |
|---|---|---|---|---|---|
| actuel | 9 mars 2015 à 16:35 | 1 280 × 592 (13 Kio) | Qsultana (discussion | contributions) | Projet Motorisation d'un véhicule électrique. Exemple de relevé du courant induit à la surface d'un aimant |
- Vous ne pouvez pas remplacer ce fichier.
Utilisation du fichier
La page suivante utilise ce fichier :